変形性膝関節症(膝OA)に対する股関節外転筋トレーニングの有効性についての論争は過去10年以上続いており、巷ではこれを「股関節外転筋論争」と呼んでいる。
前回のエントリでは、股関節外転筋論争の全容を紹介した。その中で、膝OAでは股関節外転筋力が低下していること、股関節外転筋トレーニングは膝内転モーメントの減少に寄与しないが、膝痛の軽減には寄与することが明らかになった。
今回は、まず、そもそも何故、膝OAでは股関節外転筋力が低下するのか?ということを明らかにし、その観点から股関節外転筋トレーニングが膝内転モーメントの減少に寄与する可能性について考察してみたい。
◆ 膝OAの歩行戦略
ヒトの歩行が適応する基準は「歩きやすさ」である。
よって、膝内転モーメントが膝OAの疼痛や重症度を増悪させるのであれば、膝OAによる代償的な歩行は、膝痛や機械的刺激を避けるために、膝内転モーメントを減少させる歩容に適応していく。
膝内転モーメントは、膝関節中心と足部の足圧中心(Center of pressure:COP)から身体の質量中心(Center of mass:COM)に向かって生じる床反力線とのレバーアームの距離によって決定される。

膝内転モーメントを減少させるためには、COPかCOM、または双方の位置を変化させ、膝関節中心と床反力線のレバーアームを短くするような歩行戦略が選択されやすい。その代表的な方法がtoe outと体幹傾斜である。
toe outでは、COPを外側に偏位させることによりレバーアームを短くし、体幹傾斜では、体幹を膝OAと同側に傾けることによりCOMを外側へ偏位させ、レバーアームを短くして膝内反モーメントを減少させる。

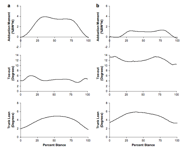
Huntらは120名の膝OA患者を対象にした歩行解析の研究において、ほとんどの患者でtoe out、体幹傾斜が認められたことを報告している。Fig.1は、膝内転モーメント、toe outの角度、体幹傾斜の角度の平均および標準偏差を示しているが、膝OAでは足部をtoe outさせ、体幹をOAと同側へ傾斜させる歩行戦略を選択していることがわかる。

Fig.1:Hunt MA, 2008より引用。上から膝内転モーメント(Adduction moment)、toe outの角度、体幹傾斜(Trunk lean)の角度の平均および標準偏差を示す。
また、年齢、体型、膝OAのグレード、疼痛強度、歩行速度が同等であり、toe outと体幹傾斜が異なる2症例をサンプルとして提示し、症例aに比べて症例bでは、toe out、体幹傾斜の角度を増大させることで膝内転モーメントを大きく減少させることが可能であることを示している。

Fig.2:Hunt MA, 2008より引用。a、bの症例を提示し、上から膝内転モーメント、toe outの角度、体幹傾斜の角度を示す。
さらに、膝内転モーメントを減少させる寄与率は、toe out12%、体幹傾斜13%であり、膝OAでは、双方を合わせることで大きく膝内転モーメントを減少させるように歩行適応が行われていると結論付けている(Hunt MA, 2008)。
このように膝OAの多くの症例は、toe outや体幹傾斜という歩行戦略を用い、膝内転モーメントを減少を図っているのである。
◆ このような歩行戦略は股関節外転筋にどのような影響を与えるのか?
股関節外転筋は股関節内転モーメントの強さに応じて発揮する筋力が決定される。
(股関節外転筋力≒股関節内転モーメント)
そして、股関節内転モーメントは、股関節中心から床反力線までのレバーアームの距離によって決まる。よって、tou outや体幹傾斜による歩行戦略は、膝内転モーメントを減少させるだけでなく、股関節中心と床反力線を近づけることによって股関節内転モーメントも減少させる。その結果、股関節外転筋への負荷は減り、股関節外転筋力が低下しやすい動作環境になるのである。

Mündermannらは、体幹傾斜によって股関節内転モーメントは最大65%も減少することを報告している(Mündermann A, 2007)。
以上より、膝OA患者が膝内転モーメントを減少させる歩行戦略としてtou outまたは体幹傾斜を選択する場合、COP、COMの偏位に伴う股関節内転モーメントの減少により二次的に股関節外転筋力が低下するのである。
もちろん、膝OAでは、歩行速度の低下や立脚期時間の低下などの歩行戦略も行われることが示されており(Simic M, 2011)、これらも股関節外転筋力を低下させる要因になるだろう。
それでは、膝OA患者の股関節外転筋力がtoe outや体幹傾斜などによって生じると仮定するならば、股関節外転筋トレーニングは膝内転モーメントの減少に効果的であると言えるのだろうか?
答えはやはり「NO」となるだろう。
膝OAでは、膝内転モーメントを減少させるための歩行戦略を選択しやすい。その結果、二次的に股関節外転筋力が低下するのであれば、股関節外転筋トレーニングは二次的な股関節外転筋力の低下を回復させるのみで、主要因である膝内転モーメントの減少には寄与しないことが推測される。膝OAに対する股関節外転筋トレーニングの有効性を調査した2つのRCT(Bennell KL, 2010、Foroughi N,2011)、クリニカル・トライアル(Sled EA, 2010)において、その有効性が否定されていることも頷ける結果なのである。
次回は、なぜ、股関節外転筋トレーニングによって膝OAの膝痛が軽減するのか?という疑問について考察してみたい。
答えのヒントは、患者さんの問題は実験室ではなく、生活の場で起きているということである。
変形性膝関節症の保存療法シリーズ
保存療法①:変形性膝関節症を予防する基本戦略
保存療法②:変形性膝関節症の予防① 股関節外転筋トレーニングの有効性について
保存療法③:変形性膝関節症の予防② 膝OAで股関節外転筋力が低下する理由
保存療法④:変形性膝関節症の予防③ 股関節外転勤トレーニングをしよう
保存療法⑤:変形性膝関節症の予防④ 膝の屈曲拘縮を予防しよう!
保存療法⑥:変形性膝関節症に良い靴選び
保存療法⑦:変形性膝関節症に良い靴選び②
保存療法⑧:変形性膝関節症に良い靴選び③
保存療法⑨:変形性膝関節症に良い靴選び④
Reference
Hunt MA, et al. Lateral trunk lean explains variation in dynamic knee joint load in patients with medial compartment knee osteoarthritis. Osteoarthritis Cartilage. 2008 May;16(5):591-9.
Mündermann A, et al. Implications of increased medio-lateral trunk sway for ambulatory mechanics.J Biomech. 2008;41(1):165-70.
Simic M, et al. Gait Modification Strategies for Altering Medial Knee Joint Load: A Systematic Review. Arthritis Care Res (Hoboken). 2011 Mar;63(3):405-26.
Bennell KL, et al. Hip strengthening reduces symptoms but not knee load in people with medial knee osteoarthritis and varus malalignment: a randomised controlled trial. Osteoarthritis Cartilage. 2010 May;18(5):621-8.
Sled EA, et al. Effect of a home program of hip abductor exercises on knee joint loading, strength, function, and pain in people with knee osteoarthritis: a clinical trial. Phys Ther. 2010 Jun;90(6):895-904.
Foroughi N, et al. Lower limb muscle strengthening does not change frontal plane moments in women with knee osteoarthritis: A randomized controlled trial. Clin Biomech (Bristol, Avon). 2011 Feb;26(2):167-74.
「説明がわからない」「これが知りたい」などのご意見はTwitterまでご気軽にご連絡ください。