リハビリmemo

理学療法士・トレーナーによる筋トレやダイエットについての最新の研究報告を紹介するブログ

2012-06-01から1日間の記事一覧

歩行時の股関節伸展角度が出にくい理由

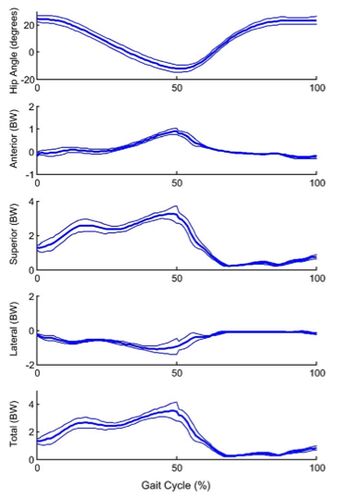
歩行時に股関節に加わる力は、床反力と筋力の合力になるが、筋力がその8割を占めている(Bergmann G, 2004)。 その筋力に寄与する筋は、腸腰筋、中殿筋、大殿筋でり、特に、近年では腸腰筋の寄与が注目されている(Lewis CL, 2007)。 それでは、歩行時の股…