歩行時に股関節に加わる力は、床反力と筋力の合力になるが、筋力がその8割を占めている(Bergmann G, 2004)。
その筋力に寄与する筋は、腸腰筋、中殿筋、大殿筋でり、特に、近年では腸腰筋の寄与が注目されている(Lewis CL, 2007)。
それでは、歩行時の股関節に加わる力と股関節の角度は、どのような関係性にあるのだろうか?
今回の報告は、歩行時の股関節の角度に応じた関節負荷を調査したものである。
reference)
Effect of hip angle on anterior hip joint force during gait.
Gait & Posture, 2010
3次元骨関節モデルを用い、歩行時の股関節に加わる負荷を前方、上方、外方に分けて測定(モデルの理論は原著参照)。
その結果、
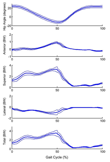
下記の図は、上段から、股関節の角度、股関節前方への負荷、上方への負荷、外方への負荷、合力負荷を示す。
股関節角度と関節負荷の方向との関係では、股関節伸展方向への動きに応じて、前方、上方、合力負荷が増大する。

さらに、股関節伸展角度と前方負荷の関係では、股関節の最大伸展角度が2度増えると前方負荷は24%増加する。

とのこと。
股関節伸展で股関節に加わる力(特に前方、上方)が大きくなることが理解できる。
股関節症の患者さんの歩行時に股関節伸展が出にくいことをよく臨床で経験する。
また、股関節症や前方関節唇損傷の患者さんでは、歩行時の股関節の伸展を抑えて歩くと疼痛が緩解することがある。
股関節最大伸展がわずかに増えるだけで、関節負荷が20%ほど増加することは、これらの臨床所見の根拠になるかもしれない。
このような歩行時の股関節負荷を理解することは、臨床推論でとても役に立つ。
股関節リハビリシリーズ
股関節リハビリ①:歩行時の振り出しで上手に腸腰筋をつかうためのヒント
股関節リハビリ②:力学的負荷から見た股関節運動の注意点
股関節リハビリ③:歩行時の股関節伸展角度が出にくい理由
股関節リハビリ④:股関節症術後に見られる階段昇降の足の使い方
股関節リハビリ⑤:手術か保存療法か
股関節リハビリ⑥:手術か保存療法か(その2)
股関節リハビリ⑦:人工股関節術後に残りやすい歩き方のポイント
股関節リハビリ⑧:人工股関節術後に残りやすい立ち上がり動作のポイント
股関節リハビリ⑨:自分で簡単に変形性股関節症の程度を確認できる方法
股関節リハビリ⑩:歩容から見る変形性股関節症の重症度
股関節リハビリ⑪:変形性股関節症の簡単な脊椎疾患との鑑別法
股関節リハビリ⑫:変形性股関節症の遺伝子研究の進展
股関節リハビリ⑬:最新手術「筋肉温存型人工股関節置換術」まとめ
股関節リハビリ⑭:歩きに適した外転筋トレーニングの方法
股関節リハビリ⑮:見落としがちな歩き方のポイント
股関節リハビリ⑯:見落としがちな歩き方のポイント(その2)
股関節リハビリ⑰:変形性股関節症の保存療法と関節軟骨
股関節リハビリ⑱:変形性股関節症とランニング(まとめ)
股関節リハビリ⑲:人工股関節置換術とスポーツ
「説明がわからない」「これが知りたい」などのご意見はTwitterまでご気軽にご連絡ください。